Просмотр аккаунта человека без регистрации
В прошлом пункте мы с вами искали просто обычные картинки на схожую тематику, но ведь можно же смотреть фото определенных людей, для этого мы точно также пользуемся официальным сайтом, а не приложением. Если знаете адрес страницы либо логин пользователя, фотографии которого хотите посмотреть, то хорошо, можно прямо сейчас зайти на него, воспользовавшись любым браузером.
Если не знаете адрес страницы, а человек знаменитый, то можно точно также поискать его фотки, воспользовавшись тегами. Например, для того чтобы найти фотографии Бузовой в Инстаграме, я в адресной строке браузера ввел https://www.instagram.com/explore/tags/бузова/.

Если вы знаете логин человека в Инста, то для того чтобы посмотреть его фотки необходимо перейти воспользоваться следующим адресом:
Например, чтобы посмотреть фотографии Роналду я ввел в адресной строке браузера

Таким образом, можно посмотреть фотографии на любую тематику и любого человека, который выложил фотки в Инстаграм, если его аккаунт не является закрытым.
Инстаграм – одна из самых популярных социальных сетей, которая активно используется рядовыми пользователями и медийными личностями: звездами шоу-бизнеса, политиками, общественными деятелями и представителями сферы искусств – художниками, начинающими музыкантами, писателями и другими.
Всего за несколько лет платформа Инстаграм собрала более 800 миллионов активных уникальных пользователей, и ежедневно эта цифра растет.
Популярные бренды и магазины уже давно завели свои собственные странички, на которых можно ознакомиться с ассортиментом и даже заказать понравившийся продукт. Да и проверять ленты таблоидов для поиска новостей о любимых певцах, актерах и других звездах больше не нужно – они сами охотно делятся моментами своей жизни и общаются с поклонниками.
Отдельное внимание стоит уделить публичным страничкам-сообществам. Они специализируются на отдельных тематиках, которые могут быть интересными пользователям, например, аккаунты со смешными видео, советами по похудению, мотивации, психологии и тайм-менеджменту, локальные сообщества, объединяющие жителей отдельных городов, студентов ВУЗов и сотрудников разных компаний. читайте в нашем материале
читайте в нашем материале.
И хоть популярность Инстаграма в последнее время просто зашкаливает, все равно остаются люди (и таких много), которые оттягивают момент регистрации на ресурсе, или вовсе не собираются этого делать. Это не значит, что им неинтересна сама соцсеть, а точнее, контент, который в ней публикуется. Авторизация открывают массу возможностей для пользователей: лайки, подписки, комментирование и другое. Но вот для того, чтобы просто следить за понравившейся страничкой, регистрироваться не обязательно. Достаточно просто переходить на интересный аккаунт, просматривать записи, некоторые ссылки добавлять в закладки и делать скриншоты. Конечно же, при условии, что профиль пользователя открыт и доступен для просмотра.
В этой статье мы детально разберем, как осуществить в Инстаграм поиск людей без регистрации, и что для этого нужно сделать.
Основные методы улучшения энергоэффективности
Способы улучшения энергоэффективности здания
Оптимизация показателей подразумевает снижение тарифа на отопление благодаря улучшению теплоизоляции.
К основным методам следует отнести:
- Повышение уровня теплосопротивления строящегося здания. Проводятся облицовочные работы стен, перекрытия отделываются теплоизоляционными материалами. Индикатор энергосбережения повышается до 40%.
- Устранение в строящемся здании мостиков холода. Сбережение энергии увеличивается на 3%.
- Остекление лоджий и балконов. Способ оптимизирует сохранение тепла на 10—12%.
- Монтаж инновационных моделей окон с профилями, содержащими несколько камер.
- Установка системы вентиляции.
Повысить степень теплоизоляции могут и жильцы. Среди основных методов следует отметить:
- монтаж радиаторов из алюминия,
- установку термостатов,
- монтаж тепловых счетчиков,
- установку экранов, которые отражают тепловые потоки,
- применение пластмассовых труб в отопительной системе,
- установку индивидуальной отопительной системы.
Приточная вентиляция с подогревом
Повышением энергоэффективности можно добиться сокращения издержек на вентиляцию помещения. Рекомендуется использовать:
- оконное микропроветривание,
- систему с подогревом воздуха, который поступает извне,
- регуляцию подачи воздуха,
- защиту от сквозняков,
- вентиляционные системы с двигателями разных мощностей.
Для улучшения энергоэффективности многоквартирного дома нужны большие затраты. Иногда проблема остается нерешенной. Сокращение потери тепла в частном доме отличается простотой. Она достигается различными способами. При комплексном подходе к проблеме добиваются положительного результата. Затраты на отопление зависят от особенностей системы.
С помощью насоса теплоноситель движется быстрее
Функциональность большей части автономных систем основана на принудительной циркуляции теплоносителя. С этой целью в сеть монтируется насос. Оборудование должно отличаться надежностью и высоким качеством. Но такие модели используют большое количество энергии. В домах с принудительной циркуляцией 30% затрат уходит на эксплуатацию циркуляционного насоса. На рынке представлены марки агрегатов класса А, отличающиеся энергоэффективностью.
Сохранение тепла обеспечивает терморегулятор. Работа датчика отличается простотой. Температура воздуха считывается внутри обогреваемого помещения. В результате насос находится в режиме отключения и включения в зависимости от температуры в квартире или доме. Граница срабатывания и температурный режим задается пользователем. Жильцы применяют автономную систему отопления и получают хороший микроклимат, а также экономию потребления топлива. Основным приоритетом теплозащитных термостатов является отключение нагревателя и насоса циркуляции. Оборудование сохраняет работоспособность.
Для повышения эффективности энергии существуют и другие методы:
- утепление стен и полов посредством инновационных теплоизолирующих материалов,
- монтаж пластиковых окон,
- защита помещений от сквозняков.
Все способы дают возможность увеличить фактические показатели теплозащиты здания относительно расчетно-нормативных показателей. Увеличенный маркер отражает степень комфорта и экономии.
Основные требования к чердачным перекрытиям
Главное качество, которым в обязательном порядке должно обладать любое чердачное перекрытие, это прочность. Если речь идет о мансардной крыше, то вся конструкция не должна прогибаться или деформироваться под тяжестью мебели или находящегося на чердаке оборудования. Есть такое понятие, как норма прогиба. Для чердачных конструкций она составляет 1/200 от всего пролета. Предельная нагрузка на метр квадратный составляет 105 килограммов. Еще одним не менее важным параметром перекрытия является пожаробезопасность, что в большей мере касается конструкций из дерева. Так вот, у огнестойкости имеются такие пределы:
- для бетонных или железобетонных конструкций это 1 час;
- для конструкций из дерева (при отсутствии дополнительной защиты) – пять минут;
- для перекрытия из дерева по балкам, с засыпкой и штукатуркой – порядка 45 минут;
- для перекрытия из дерева с одной лишь оштукатуренной поверхностью – 15 минут.

Улучшение энергоэффективности частного дома
Для повышения энергоэффективности многоквартирного дома задача реальная, но требует огромных затрат. В результате нередко она остается так и не решенной. Сократить теплопотери в частном доме значительно проще. Этой цели можно добиться разными методами. Подойдя к решению проблемы комплексно, нетрудно получить превосходные результаты.
В первую очередь затраты на отопление складываются из особенностей системы отопления. Частные дома крайне редко подключаются к центральным коммуникациям. В большинстве случаев они отапливаются индивидуальной котельной. Установка современного котельного оборудования, отличающегося экономичностью работы и высоким КПД, поможет сократить расходы на тепло, что не скажется на комфорте в доме. Лучший выбор — газовый котел.
Однако газ не всегда целесообразен для отопления. В первую очередь это касается местностей, где еще не прошла газификация. Для таких регионов можно подобрать другой котел исходя из соображений дешевизны топлива и доступности эксплуатационных расходов.
Не стоит экономить на дополнительном оборудовании, опциях для котла. Например, установка только одного терморегулятора способна обеспечить экономию топлива около 25%. Смонтировав ряд дополнительных датчиков и приборов можно добиться еще более существенного снижения расходов. Даже выбирая дорогостоящее, современное, «интеллектуальное» дополнительное оборудование, можно быть уверенным, что оно окупится в течение первого отопительного сезона. Сложив эксплуатационные затраты в течение нескольких лет, можно наглядно увидеть выгоды дополнительного «умного» оборудования.
Большинство автономных систем отопления строится с принудительной циркуляцией теплоносителя. С этой целью в сеть встраивается насосное оборудование. Без сомнения, такое оборудование должно быть надежным, качественным, но подобные модели могут быть весьма и весьма «прожорливыми». Как показала практика, в домах, где отопление имеет принудительную циркуляцию, 30% затрат на электроэнергию приходится именно на обслуживание циркуляционного насоса. При этом в продаже можно найти насосы, имеющие класс А энергоэффективности. Не будем вдаваться в подробности, за счет чего достигается экономичность такого оборудования, достаточно только сказать, что установка такой модели окупится уже в течение первых трех-четырех отопительных сезонов.
Мы уже упоминали об эффективности использования терморегуляторов, но эти приборы заслуживают отдельного разговора. Принцип работы термодатчика очень прост. Он считывает температуру воздуха внутри обогреваемого помещения и включает/отключает насос при понижении/повышении показателей. Порог срабатывания и желаемый температурный режим устанавливается пользователем. В результате жильцы получают полностью автономную систему отопления, комфортный микроклимат, существенную экономию топлива за счет более продолжительных периодов отключения котла
Важное преимущество использования термостатов — отключение не только нагревателя, но и циркуляционного насоса. А это сохраняет работоспособность оборудования и дорогостоящие ресурсы
Существуют и другие способы повышения энергоэффективности здания:
- Дополнительное утепление стен, полов с помощью современных теплоизоляционных материалов.
- Установка пластиковых окон с энергосберегающими стеклопакетами.
- Защита дома от сквозняков и т. д.
Все эти методы позволяют увеличить фактические теплохарактеристики здания относительно расчетно-нормативных. Такое увеличение — это не просто цифры, а составляющие комфорта дома и экономичности его эксплуатации.
Точные расчеты тепловой нагрузки
Значение теплопроводности и сопротивление теплопередачи для строительных материалов
Но все же этот расчет оптимальной тепловой нагрузки на отопление не дает требуемую точность вычисления. Он не учитывает важнейший параметр – характеристики здания. Главной из них является сопротивление теплопередачи материал изготовления отдельных элементов дома – стен, окон, потолка и пола. Именно они определяют степень сохранения тепловой энергии, полученной от теплоносителя системы отопления.
Что же такое сопротивление теплопередачи (R )? Это величина, обратная теплопроводности (λ ) – возможности структуры материала передавать тепловую энергию. Т.е. чем больше значение теплопроводности – тем выше тепловые потери. Для расчета годовой нагрузки на отопление воспользоваться этой величиной нельзя, так как она не учитывает толщину материала (d ). Поэтому специалисты используют параметр сопротивление теплопередачи, который вычисляется по следующей формуле:
Расчет по стенам и окнам
Сопротивление теплопередачи стен жилых зданий
Существуют нормированные значения сопротивления теплопередачи стен, которые напрямую зависят от региона, где расположен дом.
В отличие от укрупненного расчета нагрузки на отопление сначала нужно вычислить сопротивление теплопередачи для наружных стен, окон, пола первого этажа и чердака. Возьмем за основу следующие характеристики дома:
- Площадь стен – 280 м². В нее включены окна – 40 м² ;
- Материал изготовления стен – полнотелый кирпич (λ=0.56 ). Толщина наружных стен – 0,36 м. Исходя из этого рассчитываем сопротивление телепередачи — R=0.36/0.56= 0,64 м²*С/Вт ;
- Для улучшения теплоизоляционных свойств был установлен наружный утеплитель – пенополистирол толщиной 100 мм. Для него λ=0,036. Соответственно R=0,1/0,036= 2,72 м²*С/Вт ;
- Общее значение R для наружных стен равно 0,64+2,72= 3,36 что является очень хорошим показателем теплоизоляции дома;
- Сопротивление теплопередачи окон — 0,75 м²*С/Вт (двойной стеклопакет с заполнением аргоном).
Фактически тепловые потери через стены составят:
(1/3,36)*240+(1/0.75)*40= 124 Вт при разнице температуры в 1°С
Температурные показатели возьмем такие же, как и для укрупненного вычисления нагрузки на отопление +22°С в помещении и -15°С на улице. Дальнейший расчет необходимо делать по следующей формуле:
Расчет по вентиляции
Затем необходимо вычислить потери через вентиляцию. Общий объем воздуха в здании составляет 480 м³. При этом его плотность примерно равна 1,24 кг/м³. Т.е. его масса равна 595 кг. В среднем за сутки (24 часа) происходит пятикратное обновление воздуха. В таком случае для вычисления максимальной часовой нагрузки для отопления нужно рассчитать тепловые потери на вентиляцию:
(480*40*5)/24= 4000 кДж или 1,11 кВт/час
Суммируя все полученные показатели можно найти общие тепловые потери дом:
Таким образом определяется точная максимальная тепловая нагрузка на отопление. Полученная величина напрямую зависит от температуры на улице. Поэтому для расчета годовой нагрузки на отопительную систему нужно учитывать изменение погодных условий. Если средняя температура в течение отопительного сезона составляет -7°С, то итоговая нагрузка на отопление будет равна:
(124*(22+7)+((480*(22+7)*5)/24))/3600)*24*150(дней отопительного сезона)=15843 кВт
Меняя температурные значения можно сделать точный расчет тепловой нагрузки для любой системы отопления.
К полученным результатам нужно прибавить значение тепловых потерь через крышу и пол. Это можно сделать поправочным коэффициентом 1,2 – 6,07*1,2=7,3 кВт/ч.
Полученная величина указывает на фактические затраты энергоносителя при работе системы. Существует несколько способов регулирования тепловой нагрузки отопления. Наиболее действенный из них – уменьшение температуры в комнатах, где нет постоянного присутствия жильцов. Это можно осуществить с помощью терморегуляторов и установленных датчиков температуры. Но при этом в здании должна быть установлена двухтрубная система отопления.
Для вычисления точного значения тепловых потерь можно воспользоваться специализированной программой Valtec. В видеоматериале показа пример работы с ней.
Анатолий Коневецкий, Крым, Ялта
Анатолий Коневецкий, Крым, Ялта
Уважаемая Ольга! Извините,что обращаюсь к Вам еще раз. Что-то у меня по Вашим формулам получается немыслимая тепловая нагрузка: Кир=0,01*(2*9,8*21,6*(1-0,83)+12,25)=0,84 Qот=1,626*25600*0,37*((22-(-6))*1,84*0,000001=0,793 Гкал/час По укрупненной формуле, приведенной выше, получается всего 0,149 Гкал/час. Не могу понять, в чем дело? Разъясните пожалуйста! Извините за беспокойство. Анатолий.






Анатолий Коневецкий, Крым, Ялта
Класс энергоэффективности
Удельная теплохарактеристика служит основой для получения такого показателя как класс энергоэффективности дома. Последние годы класс энергоэффективности должен определяться в обязательном порядке для жилых многоквартирных домов.

Таблички на доме могут сообщать о классе его энергоэффективности
Определение данного параметра осуществляется на основе следующих данных:
- Отклонение фактических показателей и расчетно-нормативных данных. Причем первые можно получить как расчетным, так и практическим путем, т.е. при помощи тепловизионного обследования.
- Климатические особенности местности.
- Нормативные данные, которые должны в себя включать сведения о расходах на отопление, а также вентиляцию и кондиционирование.
- Тип здания.
- Технические характеристики использованных строительных материалов.
Каждый класс имеет определенные значения расхода энергоресурсов на протяжении года. Класс энергоэффективности должен быть отмечен в энергетическом паспорте дома.
Удельная отопительная характеристика здания – что это такое и как рассчитывается

Удельная отопительная характеристика здания является очень важным техническим параметром. Ее расчет необходим для выполнения проектно-строительных работ, кроме того, знание этого параметра не помешает и потребителю, так как он влияет на сумму оплаты за тепловую энергию. Ниже мы рассмотрим, что такое удельная отопительная характеристика и как она рассчитывается.
Данные тепловизионного обследования многоэтажного дома
Понятие удельной тепловой характеристики
Прежде чем ознакомиться с расчетами, определимся с основными терминами. Итак, удельная тепловая характеристика здания для отопления – это значение наибольшего теплового потока, который необходим для обогрева дома. При расчете данного параметра, дельту температур, т.е. разницу между комнатной и уличной температурой, принято брать за один градус.
По сути, данный показатель определяет энергоэффективность строения.
Средние параметры определяются нормативной документацией, такой как:
- Строительные правила и рекомендации;
- СНиПы и пр.
Любое отклонение от обозначенных норм в любую сторону, позволяет получить представление об энергетической эффективности отопительной системы. Расчет параметра осуществляется по СНиП и другим действующим методикам.










Утепление стен позволяет сократить энергозатраты на отопление
Расчетно-нормативные показатели
Расчетные показатели можно получить по следующей формуле:
qзд= + +n1* + n2), где:
| qзд ,Вт/(м3оС) | Количество теплоты, теряемой одним метром кубическим здания при разности температур в 1 градус. |
| F0, м2 | Отапливаемая площадь здания |
| Fст., Fок., Fпол., Fпок., м2 | Площадь стен (наружных), окон, пола, покрытия. |
| Rст., Rок., Rпол., Rпок., | Сопротивление теплопередачи поверхностей. |
| n | Коэффициент, который изменяется в зависимости от расположения помещения относительно улицы. |
Надо сказать, что данная формула не единственная. Удельные отопительные характеристики зданий могут определяться по местным строительным нормам, а также определенным методикам саморегулируемых организаций и пр.
Данные тепловизионного обследования частного дома
Расчет фактической теплохарактеристики осуществляется по следующей формуле
В данной формуле основу составляют фактические параметры:
| Q | Расход топлива в течение года |
| Z | Продолжительность отопительного сезона |
| tint | Средняя температура воздуха в помещении |
| text | Средняя температура снаружи помещения |
| qфакт | Фактическая удельная тепловая отопительная характеристика здания |
Следует отметить, что данное уравнение отличается простотой, в результате чего его часто используют при расчетах. Однако, оно имеет серьезный недостаток, который влияет на точность получаемых расчетов. А именно – учитывает разницу температур в помещениях здания.
Чтобы получить своими руками более точные данные, можно применять расчеты с определением расхода тепла по:
- Показателям потерь тепла через различные строительные конструкции;
- Проектной документации.
- Укрупненным показателям.
Саморегулирующие организации обычно используют собственные методики.
В них учитываются следующие параметры:
- Архитектурные и планировочные данные;
- Год постройки дома;
- Поправочные коэффициенты температуры уличного воздуха в период отопительного сезона.
Кроме того, фактическая удельная отопительная характеристика жилых зданий должна определяться с учетом потерь тепла в трубопроводах, проходящих через «холодные» помещения, а также расходов на кондиционирование вентиляцию. Эти коэффициенты можно узнать в специальных таблиц СНиП.
Вот, пожалуй, и вся основная инструкция по определению удельного теплового параметра.
Вывод
Удельная отопительная характеристика зданий является важным параметром, который зависит от ряда факторов. Как мы выяснили, определить ее можно самостоятельно, что в дальнейшем позволит рассчитать энергозатраты на отопление в доме.
Из видео в этой статье можно почерпнуть некоторую дополнительную информацию по данной теме.
Обследование тепловизором
Все чаще, чтобы повысить эффективность работы отопительной системы, прибегают к тепловизионным обследованиям строения.
Работы эти проводят в темное время суток. Для более точного результата нужно соблюдать разницу температур между помещением и улицей: она должна быть не менее в 15 о. Лампы дневного освещения и лампы накаливания выключаются. Желательно убрать ковры и мебель по максимуму, они сбивают прибор, давая некоторую погрешность.
Обследование проводится медленно, данные регистрируются тщательно. Схема проста.
Первый этап работ проходит внутри помещения
Прибор двигают постепенно от дверей к окнам, уделяя особое внимание углам и прочим стыкам
Второй этап – обследование тепловизором внешних стен строения. Все так же тщательно исследуются стыки, особенно соединение с кровлей.
Третий этап – обработка данных. Сначала это делает прибор, затем показания переносятся в компьютер, где соответствующие программы заканчивают обработку и выдают результат.
Если обследование проводила лицензированная организация, то она по итогу работ выдаст отчет с обязательными рекомендациями. Если работы велись лично, то полагаться нужно на свои знания и, возможно, помощь интернета.
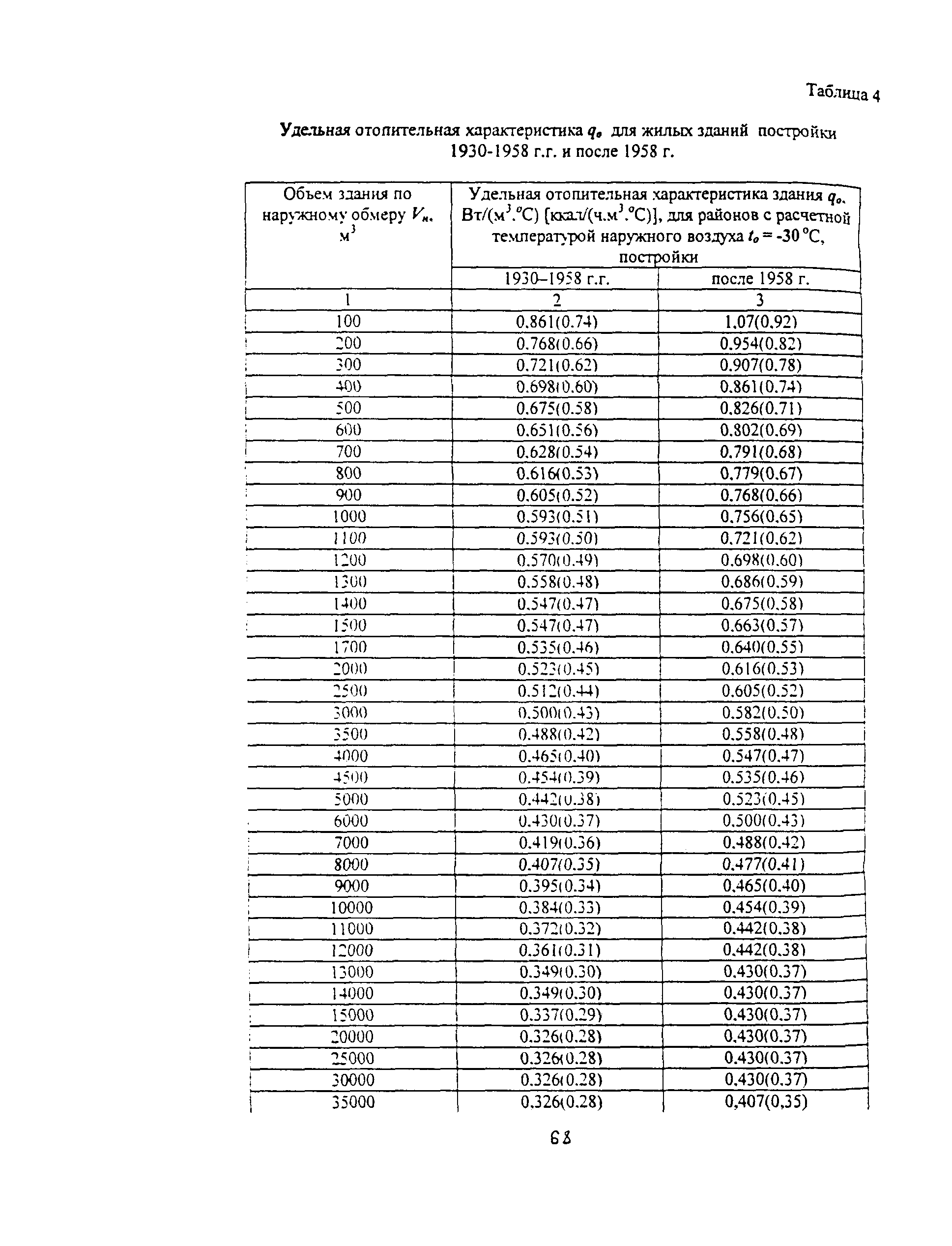
Удельные тепловые характеристики зданий различного назначения
Технические характеристики паровых котлов
| Марка котла | Паропроизводительность, кг/ч | Тепловая мощность, кВт | Температура нагрева пара, 0 С | Избыточное рабочее давление, кПа |
| КВ‑300М | 68,7 | |||
| Д‑721А | 68,7 | |||
| МЗК‑8Г (Е‑0,4‑9Г) | 174,5 | |||
| МЗК‑7Г (Е‑1,0‑9Г) | 174,5 | |||
| ДКВР‑2,5‑1,3 | 194,1 | |||
| ДКВР‑4‑13 | 194,1 | |||
| ДКВР‑6,5‑13 | 194,1 | |||
| ДКВР‑10‑13 | 194,1 | |||
| ДКВР‑10‑13‑250 |
Значения коэффициентов теплопередачи открыто установленных отопительных приборов
| Нагревательные приборы | Значения коэффициента теплопередачи К, Вт/(м2. К) при | |||||||
| Разности средней температуры воды в приборе и температуры воздуха помещения, 0 С | Избыточном давлении пара, кПа | |||||||
| 40..50 | 50..60 | 60..70 | 70..80 | >80 | 68,7 | 98,1 | >98,1 | |
| Чугунный радиатор М‑140 | 8,5 | 9,2 | 9,5 | 9,9 | 10,4 | ‑ | ‑ | |
| Чугунный радиатор М‑140АО | 8,1 | 8,8 | 9,2 | 9,5 | 9,6 | ‑ | ‑ | |
| Чугунные трубы с круглыми ребрами: | ||||||||
| 1. труба | 5,2 | 5,2 | 5,8 | 5,8 | 5,8 | 7,5 | 7,8 | |
| 2. трубы (одна над другой) | 4,7 | 4,9 | 5,3 | 5,3 | 5,3 | 5,8 | 6,3 | 6,5 |
| 3. трубы (одна над другой) | 4,1 | 4,7 | 4,7 | 4,7 | 4,7 | 5,3 | 5,6 | 5,8 |
| Одна стальная труба, диаметром, мм: | ||||||||
| Менее или равном 32 | 12,8 | 13,4 | 14,6 | 14,6 | 15,2 | 16,2 | ||
| 32..108 | 11,1 | 11,6 | 12,2 | 12,8 | 13,4 | 14,9 | 15,6 | |
| 133..159 | 11,1 | |||||||
| Несколько стальных труб (одна над другой) диаметром, мм: | ||||||||
| менее или равном 32 | 11,6 | 11,6 | 12,8 | 12,8 | 13,4 | 14,6 | 15,6 | 16,3 |
| более 32 | 9,3 | 9,6 | 10,5 | 10,5 | 10,5 | 12,8 | 13,8 | 14,4 |
Расчет тепловой мощности исходя из объема помещения
Этот метод определения тепловой нагрузки на системы отопления наименее универсален, чем первый, так как предназначен для расчетов помещений с высокими потолками, но при этом не учитывает, что воздух под потолком всегда теплее, чем в нижней части комнаты и, следовательно, количество потерь тепла будет различаться зонально.
Тепловая мощность системы отопления для здания или помещения с потолками выше стандартных рассчитывается исходя из следующего условия:
При использовании первого или второго метода расчета теплопотерь здания укрупненным методом можно пользоваться поправочными коэффициентами, которые в некоторой степени отражают реальность и зависимость потерь тепла зданием в зависимости от различных факторов.
- Тип остекления:
- тройной пакет 0,85,
- двойной 1,0,
- двойной переплет 1,27.
- Наличие окон и входных дверей увеличивает величину потерь тепла дома на 100 и 200 Ватт соответственно.
- Теплоизоляционные характеристики наружных стен и их воздухопроницаемость:
- современные теплоизоляционные материалы 0,85
- стандарт (два кирпича и утеплитель) 1,0,
- низкие теплоизоляционные свойства или незначительная толщина стен 1,27-1,35.
- Процентное отношение площади окон к площади помещения: 10%-0,8, 20%—0,9, 30%—1,0, 40%—1,1, 50%—1,2.
- Расчет для индивидуального жилого дома должен производиться с поправочным коэффициентом порядка 1,5 в зависимости от типа и характеристик используемых конструкций пола и кровли.
- Расчетная температура наружного воздуха в зимний период (для каждого региона своя, определяется нормативами): -10 градусов 0,7, -15 градусов 0,9, -20 градусов 1,10, -25 градусов 1,30, -35 градусов 1,5.
- Тепловые потери так же растут в зависимости от увеличения количества наружных стен по следующей зависимости: одна стена – плюс 10% от тепловой мощности.
Но, тем не менее, определить какой метод даст точный и действительно верный результат тепловой мощности отопительного оборудования можно лишь после выполнения точного и полного теплотехнического расчета здания.
Понятие удельной тепловой характеристики здания
Прежде чем построить здание, рассчитывается его тепловая характеристика
Удельная тепловая характеристика здания — важный технический параметр, который содержится в паспорте. Расчет требуется при проектировании и стройке здания. Знание маркеров нужно потребителю тепловой энергии, так как они оказывают влияние на показатель тарифа. Удельная характеристика подразумевает наличие значения крупнейшего потока тепла, требуемого для обогревания помещения. При расчете показателя разница уличного и комнатного показателя измеряется 1 градусом. Параметр является показателем энергоэффективности помещения. Средний коэффициент фиксируется в нормативной документации. Изменение маркеров отражает энергетическую эффективность системы. Расчет параметров проводится по установленным правилам СНиП.
Заключение
Результат может дать только комплексный подход с участием самих жильцов дома, которые более всех заинтересованы в тепло сбережении. Стимулирует к экономии энергоресурсов установка тепловых счётчиков.
В настоящее время рынок насыщен оборудованием, которое позволяет сэкономить энергоресурсы. Главное — иметь желание и произвести правильные расчёты, удельной отопительной характеристики здания, по таблицам, формулам или тепловизионного обследования. Если это не получается сделать самостоятельно, можно обратиться к специалистам.
Что необходимо для подсчета удельной тепловой характеристики здания
Расчетно-нормативные и фактические показатели удельной тепловой характеристики являются основными маркерами, применяемыми специалистами в области теплотехники. Цифры обладают практическим значением для потребителей собственных и многоэтажных домов. Дельта между расчетными и фактическими показателями является коэффициентом эффективности энергии помещения, который отражает экономичность тепловых коммуникаций.
Заключение
Результат может дать только комплексный подход с участием самих жильцов дома, которые более всех заинтересованы в тепло сбережении. Стимулирует к экономии энергоресурсов установка тепловых счётчиков.
В настоящее время рынок насыщен оборудованием, которое позволяет сэкономить энергоресурсы. Главное — иметь желание и произвести правильные расчёты, удельной отопительной характеристики здания, по таблицам, формулам или тепловизионного обследования. Если это не получается сделать самостоятельно, можно обратиться к специалистам.






























